Drug-DNA interaction
 

DNA as carrier of genetic information is a major target for drug interaction because of the ability to interfere with transcription (gene expression and protein synthesis) and DNA replication, a major step in cell growth and division. The latter is central for tumorigenesis and pathogenesis.

There are three principally different ways of drug-binding. First, through control of transcription factors and polymerases. Here, the drugs interact with the proteins that bind to DNA. Second, through RNA binding to DNA double helices to form nucleic acid triple helical structures or RNA hybridization (sequence specific binding) to exposed DNA single strand regions forming DNA-RNA hybrids that may interfere with transcriptional activity. Third, small aromatic ligand molecules that bind to DNA double helical structures by (i) intercalating between stacked base pairs thereby distorting the DNA backbone conformation and interfering with DNA-protein interaction or (ii) the minor groove binders. The latter cause little distortion of the DNA backbone.  Both work through non covalent interaction.

The small ligand drug approach offers a simple solution. The synthesis and screening of synthetic compounds that do not exist in nature, work much like pharmacological ligand for cell surface receptors in excitable tissue, and appear to be more readily delivered to cellular targets than large RNA or protein ligands. The lack of sequence specificity for intercalating molecules, however, does not allow to target specific genes, but rather certain cellular states or physiological and pathological conditions, like rapid cell growth and division that can be selectively suppressed as compared to non growing or slowly growing healthy tissue.
 

Modeling DNA-ligand interaction of intercalating ligands

The following properties have been identified as important for the successful modeling of ligand-DNA interaction:

- degrees of freedom
- role of base pair sequence
- counter ion effects
- role of solvent ligand-receptor binding


- degrees of freedom
This problem is analogous to that of protein ligand interaction. The major requirement for intercalating agents is the planar aromatic ring structure. This structure fits between to adjacent base pair planes and can have some, although much restricted, rotational freedom within the plane of the ring. The ligand itself may have flexibility of structural parts outside the DNA binding site and may contain more than one intercalating sidechain:

The structure of the antibiotic triostin A shows the presence of two quinoxaline (groups to the right; double aromatic rings) units linked through a cyclic peptide structure (center left) which is stabilized at its center by a cystein pair (disulfhydril covalent bond).

Fig. Chemical structure of triostatin A

The space filled side view indicates how the two quinoxaline rings are positioned by the linker peptide in co-planar fashion suitable for intercalating with DNA base pairs. As a rule, the more intercalating sidechains are linked within a single ligand structure, the stronger the expected binding affinity.

Triostatin A belongs to a family of antibiotics which are characterized by cross-linked octapeptide rings bearing two quinoxaline chromophores. Since the spacing between the chromophores is 3.5A, the intercalation process sandwiches two base pairs between the two quinoxalines. This phenomenon is called bis-intercalation and has first been described for echinomycin by showing that bis-intercalating drugs cause twice the DNA helix extension and unwinding seen as compared to single intercalating molecule like ethidium. The latter is a chromophore which is activated by UV light and is used by molecule biologists to label nucleic acids in gel electrophoresis or ion gradient centrifugation.

- role of base pair sequence
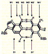
experimental evidence suggests that base pair sequence does not play a large role on the specific mature of most intercalating complexes. As the structure of triostatin A suggests, however, the linker peptide structure may well promote specific interaction with the DNA surface. The major group specific readout sequence of H-bond donor and acceptor could be involved in triostatin A binding. The figure graphically shows the direct readout of the DNA base sequence on a double helical structure.

Fig. Overlap of AT  and GC base pairs

Note: readout sequence of minor (S) and major groove (W) side as they are available for protein interaction.

The following characteristics of non covalent bond formation are associated with the binding sites indicated above:
 
binding site GC base pair AT base pair
W1  H-bond acceptor H-bond acceptor
W2   blank blank
W3  H-bond acceptor H-bond donor
W3'  blank blank
W2'  H-bond donor H-bond acceptor
W1'  C-H weak hydrophobic CH3, strong hydrophobic

While the interaction on the major groove side is distinct for the direction of the base pair (e.g. AT vs TA), there is no directionality at the minor groove side.

The molecular basis of specific recognition between echinomycin and DNA is due to the hydrogen bonding between the ligand alanine carbonyl groups and the 2-amino group of guanine. This is consistent with the observation that the preferred binding site is the sequence CG

- counter ion effect
DNA is a negatively charged polyanion attracting counter ions, positively charged Na+, or Ca++ and Mg++ ions as well as basic residues of proteins. The presence of small counter ion affect drug binding, since the counter ions can screen and shield the negative backbone surface allowing non electrolytes as well as positively charged ligand to interact more strongly with the DNA target. High ionic strength, however, reduces non covalent interaction mediated by hydrogen bonds and electrostatic interactions.

- role of solvent ligand-receptor binding
There are three general classes of interactions that must be considered in solvated ligand-receptor binding
(a) ligand solvent interaction (e.g. hydration shell), (b) receptor solvent interaction, and (c) ligand-DNA complex with solvent interaction. The three classes basically describe the sequence of events of free ligand interacting with its receptor and the change in overall solvent interaction before and after binding. We have seen that the hydrophobic effect is completely described by this system and the contribution of the entropy of free bulk water is the major driving force of hydrophobic ligand receptor interaction. This type of interaction is found in intercalating substrates because the hydrophobic, aromatic sidechains interactive favorably with the aromatic environment of the base pair stacking. The total amount of surface bound water is reduced in the after complex formation.

- rational for drug design
When  a compound intercalates into nucleic acids, there are changes which occur in both the DNA and the compound during complex formation that can be used to study the ligand DNA interaction. The binding is of course an equilibrium process because no covalent bond formation is involved. The binding constant can be determined by measuring the free and DNA bound form of the ligand. Since many of the intercalating substrates are aromatic chromophores, this can be done spectroscopically. Also, DNA double helix structures are found to be more stable with intercalating agents present and show a reduced heat denaturation. Correlating these biophysical parameters with cytotoxicity is used to support the antitumor activity of these drugs as based on their ability to intercalate in DNA double helical structures.

Improvement of anticancer drugs based on intercalating activity is not only focussed on DNA-ligand interaction, but also on tissue distribution and toxic side effects on the heart (cardiac toxicity) due to redox reduction of the aromatic rings and subsequent free radical formation. Free radical species are thought to induce destructive cellular events such as enzyme inactivation, DNA strand cleavage and membrane lipid peroxidation.
 
 

Modeling DNA-ligand interaction of minor groove binders

Hairpin minor grove binding molecules have been identified and synthesized that bind to GC reach nucleotide sequences. Hairpin polyamides are linked systems that exploit a set of simple recognition rules for DNA base pairs through specific orientation of imidazole (Im) and pyrrole (Py) rings. The hairpin polyamides originated from the discovery of the three-ring Im-Py-Py molecule that bound to minor groove DNA as an antiparallel side by side dimer.

Fig. Structure of hairpin ligand (right) on DNA minor groove (left)

from JB Chairs, Current Opinion in Structural Biology, 1998, 8:314-320

The compound was found to recognize GC base pairs. Solid phase synthesis of polyamides of variable length has produced efficient ligands, e.g. the eight ring hairpin polyamide ImPyPyPy-g-ImPyPyPy-b-Dp (Dp dimethylamino propylamide) shown in the figure above. This small synthetic molecule has an binding constant in the order of 0.03nM.

The optimal goal of polyamide ligand design has been reached with finding structures able to recognize DNA sequences of specific genes. The structure shown above inhibits the expression of 5S RNA in fibroblast cells (skin cancer cells) by interfering with the transcription factor IIIA-binding site.

A new strategy of rational drug design exploits the combination of polyamides with bis-intercalating structures. WP631 is a dimeric analog of the clinically proven anthracycline antibiotic daunorobuicin.

Fig. Structure of WP631

from JB Chairs, Current Opinion in Structural Biology, 1998, 8:314-320

This new synthetic compound shows an affinity of 10pM and also showed to be resistant against multidrug resistance mechanisms often encountered in antitumor therapy. Multidrug resistance is a phenomenon where small aromatic compounds are efficiently expelled from the cell by cell membrane transport proteins commonly referred to as ABC transporters (or ATP Binding Cassette proteins).
 
 

Drugs that form covalent bonds with DNA targets

Drugs that interfere with DNA function by chemically modifying specific nucleotides  are Mitomycin C, Cisplatin, and Anthramycin.

Mitomycin C is a well characterized antitumor antibiotic which forms a covalent interaction with DNA after reductive activation. The activated antibiotic forms a cross-linking structure between guanine bases on adjacent strands of DNA thereby inhibiting single strand formation (this is essential for mRNA transcription and DNA replication).

Anthramycin is an antitumor antibiotic which bind covalently to N-2 of guanine located in the minor groove of DNA. Anthramycin has a preference of purine-G-purine sequences (purines are adenine and guanine) with bonding to the middle G.

Cisplatin is a transition metal complex cis-diamine-dichloro-platinum and clinically used as anticancer drug.
The effect of the drug is due to the ability to platinate the N-7 of guanine on the major groove site of DNA double helix. This chemical modification of platinum atom cross-links two adjacent guanines on the same DNA strand interfering with the mobility of DNA polymerases.